Rhombus: Definition and Method to Find Perimeter and Area of Rhombus with Examples
People in India know Rhombus as समचतुर्भुज (that’s what Rhombus is called in Hindi). Let’s come to the point.
About Rhombus: What is a Rhombus?
A Rhombus is a quadrilateral (It will always have four sides). All the sides of a Rhombus are equal in length (will always have the same amount of length for all four sides).
Rhombus is also called the Diamond (As the Diamond suit of the playing card looks similar)
Some Examples of Rhombus
Area of Rhombus: What is the Formula to Calculate?
Let’s learn formulas along with solved examples.
When you know both the Diagonals (p and q) – p and q are also known as d1 and d2:
Area of Rhombus = (p x q) / 2
Can also be written as; A = (d1 x d2) / 2 or 1/2 x d1 x d2 (it will all be the same)
Example 1
Question: Find the Area of Rhombus where HM = 15cm and RO = 8cm
Same question in a different way: Find the Area from the given Rhombus where one of the diagonals is 8cm and the other is 15cm.
Solution:
d1 = 15cm (you can also write as: p = 15cm)
d2 = 8cm (you can also write as: q = 8cm)
So, A = (d1 x d2) / 2 (you can also write as: A = (p x q) / 2 )
(15cm x 8cm) / 2
120cm2 / 2
60cm2
So, the Area of Rhombus = 60cm2
Example 2
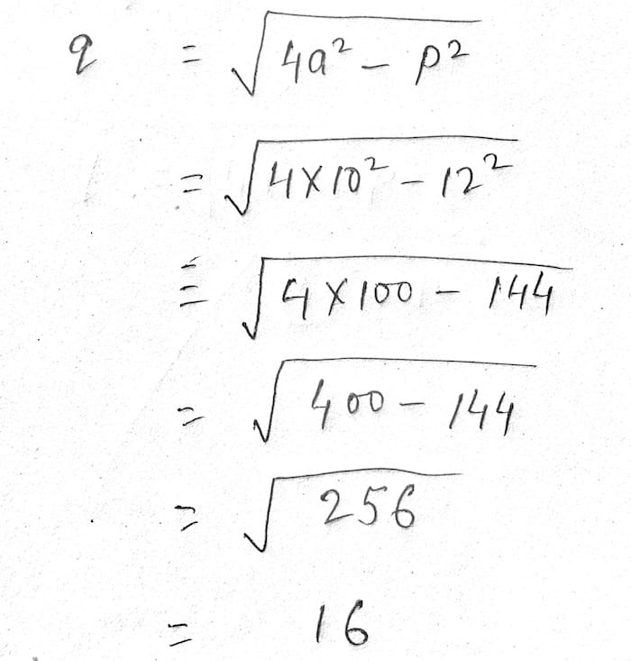
How to find one of the missing Diagonal of a Rhombus
Finding Area of Rhombus When you know just one diagonal (p or q) and the length of each side:
When you know only one diagonal and the length of the sides.
Question: Find the Area of Rhombus when AD = 10cm and AC = 12cm.
Solution:
Since AD = 10cm that means all sides’ length will be the same (10cm).
That means, a = 10cm
and we already know ac = 12 cm
so, p = 12cm (this is one of the diagonal)
Formula and Solution:
So, we already knew one of the diagonal and now we got another one, so now we can easily calculate the Area of Rhombus.
q = 16cm
p = 12cm
Area of Rhombus = (p x q) / 2
(16cm x 12cm) / 2
192cm2 / 2
96cm2
so Area of Rhombus = 96cm2
Perimeter of Rhombus: What is the Formula to Calculate?
Example
Finding Perimeter of Rhombus When you know the length of the sides
Question: Find the Perimeter of the Rhombus whose length of all sides is 15cm.
Solution:
As we already said in previous examples, the length of all sides is always the same for a Rhombus. So even if the question tells you the length of one side, you need to assume the same length of all sides.
So, a = 15cm
The formula of the Perimeter of Rhombus = 4a
= 4 x 15cm
= 60cm
so the Area of Rhombus is 60 cm.
Length of Sides (a) of Rhombus: What is the Formula to Calculate?
Example 1
Finding the Length of sides (a) of a Rhombus when you know the Perimeter
Tip: The value of all 4 sides of a Rhombus is always the same.
Question: The Perimeter of a Rhombus is 54cm. Please find the value of its sides (length).
Answer:
a = P / 4
a = 54 / 4
a = 13.5cm
So the valie of all sides is 13.5cm.
Example 2
Finding the Length of all 4 sides (a) of a Rhombus when you know the Perimeter
Tip: The value of all 4 sides of a Rhombus is always the same.
Question: The value of one of the diagonal of a Rhombus is 6m and the value of another diagonal is 8m. Find the value of its sides.
Answer:
We already know from the question:
p = 6m
q = 8m
a = ?
We need to find the value of a.
So we have found the value of all 4 sides, and that is 5.
So a = 5
A Blank ABCD Rhombus that you can download by clicking the image if you need it for any purpose
Got more problems? No worries! Comment with your question and we will answer as soon as we can.







