How to Calculate Area of Square (Examples With Solution)
What is the formula of the Area of Square?
Are of Square (A) = a2
a = sides of the square.
Important to know: all sides of a square will always be the same. For example if a Side is mentioned as 6cm that means the rest of the 3 Sides will also be 6cm.
Area of Square: Solved Examples-
Finding the Area of a Square When the Side is known
Question:- The side of a PQRS square is 15cm. Find the Area of the square.
Answer:
We already know, a = 15cm
Area of Square (A) = a2
=> A = 152
=> A = 225cm2
So Area of Square = 225cm2
Finding the Area of a Square With the help of Perimeter only
Question: The Perimeter of a Square is 88cm. Fine the Are of a Square.
Answer:
Side of Square (a) = P/4
=> a = 88/4
=> a = 22cm
So, Side of the Square = 22cm
Area of the Square = a2
= 222
= 484cm2
So, Area of the Square = 484cm2
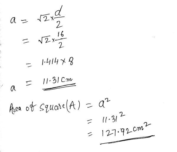
Finding the Area of a Square With the help of Diagonals’ Length only
Question: The Diagonal Length of a Square is 16cm, please find the Are of the Square.
Answer:



